数理基础之轨道力学的三体问题,了解如何推导轨道力学中研究最多的问题(用于设计 James Webb 太空望远镜轨道)...

本文主要是介绍数理基础之轨道力学的三体问题,了解如何推导轨道力学中研究最多的问题(用于设计 James Webb 太空望远镜轨道)...,希望对大家解决编程问题提供一定的参考价值,需要的开发者们随着小编来一起学习吧!

三体问题

让我们首先了解什么是三体问题。三体问题(或 3BP)是更广泛的n体问题的特例,它涉及预测天体在彼此引力影响下的运动。与更简单的二体问题 (2BP) 不同,三体问题没有封闭形式的解。这意味着必须使用初始条件(位置和速度)和数值方法来估计物体的运动。对于实际应用,3BP 可以专注于围绕两个较大质量(也称为初选)运行的卫星的运动;这些可能是卫星、行星或恒星。

一颗卫星在两个较大的主星影响下的运动通常是混乱的,这意味着该运动很难预测。这就是我们使用现代数值方法尽可能准确地估计/预测此运动的原因。为了估计 3BP 运动,需要创建一个模型,其中涉及使用牛顿运动定律和牛顿万有引力定律。推导可能难以理解。这是一个更简单的推导,可以帮助您更好地理解后续的推导。现在,开始理解任何物理问题的最佳起点是精心绘制的图表。

3BP图

三体问题

上图显示了 3BP 的标准设置。初级表示为m₁和m₂,其中m₁通常是两个质量中较大的一个。卫星(或其运动感兴趣的物体)被标记为m₃。尽管我们将卫星标记为质量 3,但出于实际目的,与主卫星相比,该质量可以忽略不计。由于第三个质量被认为可以忽略不计,因此较大的两个质量的轨道可以被认为是圆锥 (2BP) 轨道。这大大简化了推导。此外,通常研究椭圆和圆形主轨道的特殊情况,称为椭圆限制 3BP (ER3BP) 或圆形限制 3BP (CR3BP)。

考虑到这一点,两个原色的重心或质心可以被认为是一个惯性点,标记为O。该系统中有两个固定在重心的坐标系:一个随原色旋转的旋转坐标系(x-和y -hat)和一个不旋转的惯性坐标系(X-和Y -hat)。在任何给定时间,这两个帧都以角度θ分隔。还有一些位置向量(d₁、d₂、r₁、r₂和ρ) 确定质量相对于惯性重心的位置(对于使用牛顿运动定律很重要)和m₃相对于原色的位置。此推导的相关向量是ρ,因为它将确定卫星的惯性运动。

无量纲化

可怕的词,我知道,但它并不像看起来那么复杂。这不是必要的步骤,但确实可以更轻松地推导 3BP 的运动方程。无量纲化是一种从问题中提取物理维度的方法,对于简化数学表达式很有用。让我们以 3BP 为例。我们可以如下定义质量、长度和时间的无量纲化参数(按照惯例):

image.png

这里,a是两个原色运动的半长轴,G是万有引力常数。这可能还没有意义,所以我将演示如何将地月系统中的一组初始条件(本例中的两个初始条件)无量纲化。该特定系统的无量纲化参数为:

image.png

现在,如果我们有一个状态向量(位置和速度向量的组合),那么我们可以按如下方式对其进行无量纲化:

image.png

请注意,无量纲向量没有单位,我们使用维度参数删除了km和s单位。此过程反向进行,因此如果您想重新添加维度,只需乘以或除以L、M或T*。

推导 ER3BP 运动方程

制定三体问题的最后也是最长的一步是推导可忽略质量m₃ 的运动方程。首先,我们需要做一些假设,其中一些已经提到过。我们假设m₃ << m₁和m₂;这意味着m₁和m₂以不受扰动的二体运动(开普勒运动)运动。此外,m₁和m₂被视为质点(这简化了推导)。我们将从m₁和m₂的情况开始推导在围绕重心 (ER3BP) 的椭圆轨道上移动,然后简化此结果以获得 CR3BP。为了方便起见,我们首先定义质量比:

image.png

下一步是将牛顿第二运动定律和牛顿万有引力定律应用于m₃。

image.png

上面的等式是m₃的维度加速度(刻度代表二阶时间导数)。现在,无量纲化参数可用于通过将加速度乘以 ( T* )² 再除以L*来从系统中移除物理维度(因为加速度的单位是长度与时间的平方)。

image.png

在上面的等式中, ρ向量上方的点代表 ND 二阶时间导数,r₁和r2是 ND 向量。现在我们可以使用运动学来确定m₃的速度和加速度的分量。这对于创建运动方程的标量形式很重要。基本运动学方程或BKE可用于执行此操作:

image.png

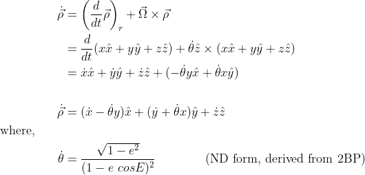
将 BKE 应用于ρ以获得一阶时间导数或速度

image.png

使用椭圆轨道的 2BP 几何,您可以导出θ的变化率:

image.png

这里,h是m₁ - m₂系统的比角动量,R是两个主要质量之间的瞬时距离(在 ER3BP 中随时间变化),e是椭圆轨道的偏心率,E是偏心异常. 现在,再次应用 BKE 以获得加速:

image.png

接下来,我们可以结合加速度矢量的两个方程,但首先我们应该从图中定义位置矢量。d₁和d₂是使用二粒子系统质心方程定义的(因为m₃可以忽略不计)。r₁、r₂和ρ可以使用图表和向量减法来定义。

image.png

现在,我们可以在第一个加速度方程中使用r₁和r₂的定义,然后将ρ加速度方程组合如下:

image.png

组合等式 (1) 和 (2) 的类似项(x -hat、y -hat 和z -hat):

image.png

上述方程表示旋转坐标系中m₃的 ER3BP 运动方程。ER3BP 很难与θ项进行数值积分;但是,可以做出假设来简化方程以获得 CR3BP,这是一个更容易集成的问题。在 CR3BP 中,原色围绕质心在圆形轨道上运动。这意味着:

image.png

然后,使用这些新假设简化 ER3BP 方程:

image.png

这些方程表示m₃的 CR3BP 运动方程。可以对它们进行数值积分,以获得旋转坐标系中m₃的位置和速度的时间历程。请注意,对于 CR3BP,原色将在旋转坐标系中保持静止。为了从 CR3BP 中的旋转矢量获得惯性矢量,我们可以使用以下等式:

image.png

此处,x、y和z表示旋转坐标系矢量分量,X、Y和Z表示惯性坐标系矢量分量。


http://www.taodudu.cc/news/show-8110556.html

相关文章:

  • 源码解析之访问osgi felix bundle中的文件和资源
  • 【记录七】org.apache.felix.scr.annotations @Reference
  • CNI 网络流量 4.3 Calico felix
  • mysql 金额显示负数_收支明细表里面的金额,为什么突然全部显示为负数
  • 家庭收支記賬項目登記----面向對象
  • 收支明细,如何添加多个账号进行记账
  • 家庭收支登记表
  • JAVA实现收支记账项目
  • MySQL春节收支表怎么建立_怎么用SQL语句对表【收支表】进行分类汇总?
  • mysql一些明细表怎么处理_mysql 关于用户账目明细设计的问题
  • PHP编程之收入支出明细表实现技术
  • 携程校招内部推荐-----简历直通+Offer优先发放!!!
  • 2024携程校招面试真题汇总及其解答(一)
  • 2024携程校招面试真题汇总及其解答(二)
  • 太强了!仅凭“阿里爸爸”大厂面试参考笔记,去携程Java三面,已OC
  • 抱歉,吾不会回访
  • 请勿要求回访博客
  • 全智通A+——回访评分统计查询超时——V6.19.1009
  • 使用FreeSWITCH做电话自动回访设置
  • Linux录制,回访和共享终端操作
  • 咨询回访的原先界面
  • 计算机毕业设计ssm毕业生回访系统564c4系统+程序+源码+lw+远程部署(2)
  • linux录屏与回访之script
  • ssm毕设项目毕业生回访系统564c4(java+VUE+Mybatis+Maven+Mysql+sprnig)
  • jmeter回访web脚本以及联调--57
  • SEO人员,如何提高用户回访率?
  • Hive统计每日新增及其二日和三十日回访比例
  • 回访机器人大展身手,你见过如此有才的“AI”机器人吗?
  • 电商回访模块设计
  • 题解 | #给出表中排名为奇数行的first_name#
  • 这篇关于数理基础之轨道力学的三体问题,了解如何推导轨道力学中研究最多的问题(用于设计 James Webb 太空望远镜轨道)...的文章就介绍到这儿,希望我们推荐的文章对编程师们有所帮助!



    http://www.chinasem.cn/article/316063

    相关文章

    基于C++的UDP网络通信系统设计与实现详解

    《基于C++的UDP网络通信系统设计与实现详解》在网络编程领域,UDP作为一种无连接的传输层协议,以其高效、低延迟的特性在实时性要求高的应用场景中占据重要地位,下面我们就来看看如何从零开始构建一个完整... 目录前言一、UDP服务器UdpServer.hpp1.1 基本框架设计1.2 初始化函数Init详解

    JAVA Calendar设置上个月时,日期不存在或错误提示问题及解决

    《JAVACalendar设置上个月时,日期不存在或错误提示问题及解决》在使用Java的Calendar类设置上个月的日期时,如果遇到不存在的日期(如4月31日),默认会自动调整到下个月的相应日期(... 目录Java Calendar设置上个月时,日期不存在或错误提示java进行日期计算时如果出现不存在的

    Mybatis对MySQL if 函数的不支持问题解读

    《Mybatis对MySQLif函数的不支持问题解读》接手项目后,为了实现多租户功能,引入了Mybatis-plus,发现之前运行正常的SQL语句报错,原因是Mybatis不支持MySQL的if函... 目录MyBATis对mysql if 函数的不支持问题描述经过查询网上搜索资料找到原因解决方案总结Myb

    Nginx错误拦截转发 error_page的问题解决

    《Nginx错误拦截转发error_page的问题解决》Nginx通过配置错误页面和请求处理机制,可以在请求失败时展示自定义错误页面,提升用户体验,下面就来介绍一下Nginx错误拦截转发error_... 目录1. 准备自定义错误页面2. 配置 Nginx 错误页面基础配置示例:3. 关键配置说明4. 生效

    Springboot3统一返回类设计全过程(从问题到实现)

    《Springboot3统一返回类设计全过程(从问题到实现)》文章介绍了如何在SpringBoot3中设计一个统一返回类,以实现前后端接口返回格式的一致性,该类包含状态码、描述信息、业务数据和时间戳,... 目录Spring Boot 3 统一返回类设计:从问题到实现一、核心需求:统一返回类要解决什么问题?

    maven异常Invalid bound statement(not found)的问题解决

    《maven异常Invalidboundstatement(notfound)的问题解决》本文详细介绍了Maven项目中常见的Invalidboundstatement异常及其解决方案,文中通过... 目录Maven异常:Invalid bound statement (not found) 详解问题描述可

    Java利用Spire.Doc for Java实现在模板的基础上创建Word文档

    《Java利用Spire.DocforJava实现在模板的基础上创建Word文档》在日常开发中,我们经常需要根据特定数据动态生成Word文档,本文将深入探讨如何利用强大的Java库Spire.Do... 目录1. Spire.Doc for Java 库介绍与安装特点与优势Maven 依赖配置2. 通过替换

    idea粘贴空格时显示NBSP的问题及解决方案

    《idea粘贴空格时显示NBSP的问题及解决方案》在IDEA中粘贴代码时出现大量空格占位符NBSP,可以通过取消勾选AdvancedSettings中的相应选项来解决... 目录1、背景介绍2、解决办法3、处理完成总结1、背景介绍python在idehttp://www.chinasem.cna粘贴代码,出

    SpringBoot整合Kafka启动失败的常见错误问题总结(推荐)

    《SpringBoot整合Kafka启动失败的常见错误问题总结(推荐)》本文总结了SpringBoot项目整合Kafka启动失败的常见错误,包括Kafka服务器连接问题、序列化配置错误、依赖配置问题、... 目录一、Kafka服务器连接问题1. Kafka服务器无法连接2. 开发环境与生产环境网络不通二、序

    SpringSecurity中的跨域问题处理方案

    《SpringSecurity中的跨域问题处理方案》本文介绍了跨域资源共享(CORS)技术在JavaEE开发中的应用,详细讲解了CORS的工作原理,包括简单请求和非简单请求的处理方式,本文结合实例代码... 目录1.什么是CORS2.简单请求3.非简单请求4.Spring跨域解决方案4.1.@CrossOr