本文主要是介绍保研数学问题复习-大数定理 中心极限定理 拉格朗日乘数法线代,希望对大家解决编程问题提供一定的参考价值,需要的开发者们随着小编来一起学习吧!
离散
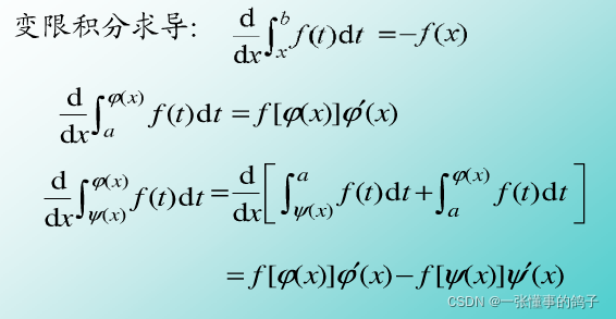
微积分
三个中值定理的区别、联系和物理意义(罗尔、拉格朗日、柯西)

线代
矩阵二次型

对于二次型,我们讨论的主要问题是:寻求可逆的线性变换,使二次型只含平方项(标准形)。如果标准形的系数只在1,-1,0三个数中取值,称为规范形。
用配方法化二次型成标准形
正定二次型
对称矩阵A为正定的充分必要条件是:A的各阶主子式都为正

在试验不变的条件下,重复试验多次,随机事件的频率近似它的概率
二项分布的极限分布是正态分布
切比雪夫大数定理不要求同分布
中心极限定理指出了大量随机变量近似服从正态分布的条件,一些现象受到许多相互独立的随机因素的影响,如果每个因素所产生的影响都很微小时,总的影响可以看作是服从正态分布的。
最优问题中,寻求变量受一个或多个条件所限制的多元函数的极值的方法。Lagrange 将一个有n个变量与k个约束条件的最优化问题转换为一个有n+k个变量的方程组的极值问题,其变量不受任何约束


这篇关于保研数学问题复习-大数定理 中心极限定理 拉格朗日乘数法线代的文章就介绍到这儿,希望我们推荐的文章对编程师们有所帮助!