本文主要是介绍一文读懂TTC碰撞时间算法,希望对大家解决编程问题提供一定的参考价值,需要的开发者们随着小编来一起学习吧!
在当今的自动驾驶车上,需要更先进和复杂的驾驶辅助系统。大多数车通过一个前向摄像头来实现如LDW(lane departure warning)、TSR(traffic sign recognition)、FCW(forward collision warning)等功能。由于应用环境的复杂性,FCW是一个相当具有挑战的任务,一种鲁邦、可靠的ttc估计方法将显得尤为重要。
TTC为自车与前车发生碰撞的时间,定义为自车与障碍物之间的距离除以相对速度。在单目系统中,测距和测速并不是一个简单的任务。而基于单目视觉的TTC估计是在不需要计算实际距离和速度的前提下,算得自车与前车的碰撞时间。
TTC计算理论
在视频流中,在一个短暂的时间内,TTC可以通过目标的尺寸除以尺寸变化来计算。证明如下:
令Z为自车与目标的物理距离,为目标物理宽度,D=x2-x1为目标在图像上的像素宽度。
根据相机投影模型 可得,
,
目标实际的物理宽度有
由于在实际的物理环境中,目标的物理宽度是不变的,对物理宽度求导可得:

但是在实际应用场景,相对速度是实时变化的,那么图像中目标的尺寸D和尺寸变化率也是实时变化的,那么,准确地计算出目标的尺寸和尺寸变化率并不是一件容易的事情。为鲁邦、可靠的估算TTC,仅靠上述公式,算得的ttc是不稳定的。
《Time To Contact Estimation Using Interest Points》提供了一种简单、稳定的TTC估算方法。以下内容将围绕该文章介绍TTC的估算方式。
Time To Contact Estimation Using Interest Points
该方法的主要思想:
- 利用目标关键点估计目标的尺寸变化S;
- 然后利用S建立目标的匀速运动模型和加速运动模型;
- 用扩展Kalman滤波跟踪模型参数;
- 采用策略融合多种运动模型的计算结果。
在实际应用中,本人认为采用匀加速模型(CA)和匀速模型(CV)即可。
运动模型建立

利用相似三角形原理,可得:
,其中,
为带参数的运动模型。
那么,在不同时刻,我们有:
令。假定已测得若干组s,
![]()
则有

假定运动模型为:

其中,
,
。
利用最小二乘拟合该2阶曲线,即可求得、
。
计算尺寸变化S
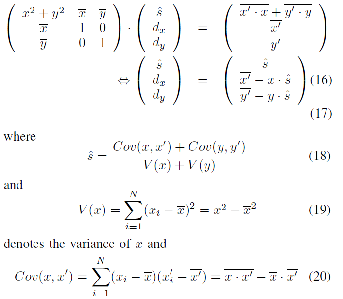
令、
为不同帧中的对应点(该对应点可通过关键点匹配或者LK光流算得,对于关键点计算,在本文中不做讨论。欢迎评论或者留言)。采用放射变换计算s。

利用最小二乘算法,可求得:


是s的有偏估计,目标尺寸w越小,估计误差越大。
多模型跟踪
采用扩展卡尔曼模型跟踪运动模型的参数,运动模型为CA模型和CV模型。再进行多模型的融合决策,得出最终的TTC。
(该论文中,作者没有采用IMM Kalman (Interactive Multi model kalman filter algorithm)对多个模型进行融合。)
(对于Kalman、扩展Kalman、IMM等模型,将在后续文章中更新,欢迎关注、评论和留言)
状态向量为:(见公式7)

对CA模型,一步预测方程为:

雅克比矩阵为:

对CV模型,一步预测方程为:

雅克比矩阵为:

采用上述方程,对CA模型和CV模型进行跟踪。
多模型融合决策
该论文中,作者并没有采用IMM模型进行融合。而是采用了一种简单的逻辑策略,对各个模型计算的TTC进行融合。
融合策略如下:
- 计算观测值在各个模型中的似然估计p1和p2,估计原理戳here;

令,可求得ttc的值,即公式7的根。
实验结果




这篇关于一文读懂TTC碰撞时间算法的文章就介绍到这儿,希望我们推荐的文章对编程师们有所帮助!