利用matlab实现线型卡尔曼滤波(LKF)

2023-12-25 11:40

本文主要是介绍利用matlab实现线型卡尔曼滤波(LKF),希望对大家解决编程问题提供一定的参考价值,需要的开发者们随着小编来一起学习吧!

LKF算法模型

在这里插入图片描述

例题

在这里插入图片描述
在这里插入图片描述

实现

在这里插入图片描述

观测只有位置
clc;
clear;
%测量值模拟
N=100;%观测次数
t=0:1:N-1;%假定输出周期
T=1;
x=zeros(6,N);
z=zeros(3,N);
x0=[0;0;50;0;5*cos(pi/6);5*sin(pi/6)];%真值初始值
mu1=[0;0;0;0;0;0];
mu2=[0;0;0];
Q=diag(0.1*[9,9,20.25,0.01,0.01,0.0225]);
R=diag([9,9,20.25]);rng(1);
w=mvnrnd(mu1,Q,N)';
v=mvnrnd(mu2,R,N)';
x(:,1)=x0;
for k=1:N-1x1=x(1,k);x2=x(2,k);x3=x(3,k);x4=x(4,k);x5=x(5,k);x6=x(6,k);x(:,k+1)=[x1;x2+x5*T;x3+x6*T;x4;x5;x6]+w(:,k);z(:,k+1)=x(1:3,k+1)+v(:,k+1);
end
%RLS估计
xr=zeros(6,N);
xr(:,1)=[0;0;0;0;0;0];
P=diag([1000,1000,1000,100,100,100]);
H=[eye(3),zeros(3,3)];
for k=1:N-1K=P*H'/(H*P*H'+R);xr(:,k+1)=xr(:,k)+K*(z(:,k+1)-H*xr(:,k));P=P-K*H*P;
end
%LKF估计
xk=zeros(6,N);
xk(:,1)=[0;0;0;0;0;0];
Pk=diag([1000,1000,1000,100,100,100]);
Fai=[eye(3),T.*eye(3);zeros(3,3),eye(3)];
Hk=[eye(3),zeros(3,3)];
for k=1:N-1xk(:,k)=Fai*xk(:,k);Pk=Fai*Pk*Fai'+Q;Kk=Pk*Hk'/(Hk*Pk*Hk'+R);xk(:,k+1)=xk(:,k)+Kk*(z(:,k+1)-Hk*xk(:,k));Pk=(eye(6)-Kk*Hk)*Pk*(eye(6)-Kk*Hk)'+Kk*R*Kk';
end

输出结果:
真实值、观测值、递推最小二乘估计值和卡尔曼滤波法估计值曲线如下图:
在这里插入图片描述
递推最小二乘估计值和卡尔曼滤波法估计值与真实值的误差如下图:
在这里插入图片描述

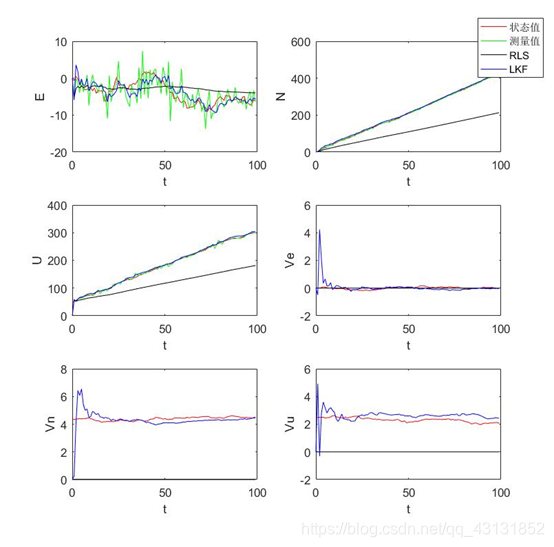
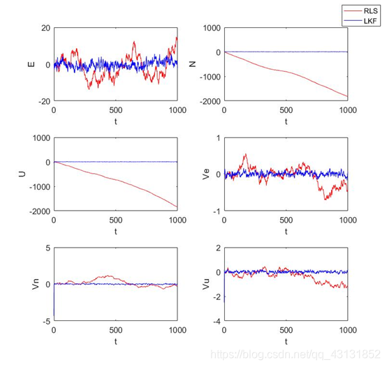
观测只有速度
clc;
clear;
%测量值模拟
N=100;%观测次数
t=0:1:N-1;%假定输出周期
T=1;
x=zeros(6,N);
z=zeros(3,N);
x0=[0;0;50;0;5*cos(pi/6);5*sin(pi/6)];%真值初始值
mu1=[0;0;0;0;0;0];
mu2=[0;0;0];
Q=diag(0.1*[9,9,20.25,0.01,0.01,0.0225]);
R=diag([0.01;0.01;0.0225]);rng(1);
w=mvnrnd(mu1,Q,N)';
v=mvnrnd(mu2,R,N)';
x(:,1)=x0;
for k=1:N-1x1=x(1,k);x2=x(2,k);x3=x(3,k);x4=x(4,k);x5=x(5,k);x6=x(6,k);x(:,k+1)=[x1;x2+x5*T;x3+x6*T;x4;x5;x6]+w(:,k);z(:,k+1)=x(4:6,k+1)+v(:,k+1);
end
%RLS估计
xr=zeros(6,N);
xr(:,1)=[0;0;0;0;0;0];
P=diag([1000,1000,1000,100,100,100]);
H=[zeros(3,3),eye(3)];
for k=1:N-1K=P*H'/(H*P*H'+R);xr(:,k+1)=xr(:,k)+K*(z(:,k+1)-H*xr(:,k));P=P-K*H*P;
end
%LKF估计
xk=zeros(6,N);
xk(:,1)=[0;0;0;0;0;0];
Pk=diag([1000,1000,1000,100,100,100]);
Fai=eye(6);
Hk=[zeros(3,3),eye(3)];
for k=1:N-1xk(:,k)=Fai*xk(:,k);Pk=Fai*Pk*Fai'+Q;Kk=Pk*Hk'/(Hk*Pk*Hk'+R);xk(:,k+1)=xk(:,k)+Kk*(z(:,k+1)-Hk*xk(:,k));Pk=(eye(6)-Kk*Hk)*Pk*(eye(6)-Kk*Hk)'+Kk*R*Kk';
end

输出结果:
真实值、观测值、递推最小二乘估计值和卡尔曼滤波法估计值曲线如下图:
在这里插入图片描述
递推最小二乘估计值和卡尔曼滤波法估计值与真实值的误差如下图:
在这里插入图片描述

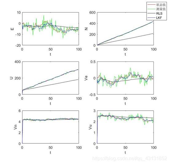
观测既有位置又有速度
clc;
clear;
%测量值模拟
N=100;%观测次数
t=0:1:N-1;%假定输出周期
T=1;
x=zeros(6,N);
z=zeros(6,N);
x0=[0;0;50;0;5*cos(pi/6);5*sin(pi/6)];%真值初始值
mu=[0;0;0;0;0;0];
Q=diag(0.1*[9,9,20.25,0.01,0.01,0.0225]);
R=diag([9,9,20.25,0.01,0.01,0.0225]);rng(1);
w=mvnrnd(mu,Q,N)';
v=mvnrnd(mu,R,N)';
x(:,1)=x0;
for k=1:N-1x1=x(1,k);x2=x(2,k);x3=x(3,k);x4=x(4,k);x5=x(5,k);x6=x(6,k);x(:,k+1)=[x1;x2+x5*T;x3+x6*T;x4;x5;x6]+w(:,k);z(:,k+1)=x(:,k+1)+v(:,k+1);
end
%RLS估计
xr=zeros(6,N);
xr(:,1)=[0;0;0;0;0;0];
P=diag([1000,1000,1000,100,100,100]);
H=eye(6);
for k=1:N-1K=P*H'/(H*P*H'+R);xr(:,k+1)=xr(:,k)+K*(z(:,k+1)-H*xr(:,k));P=P-K*H*P;
end
%LKF估计
xk=zeros(6,N);
xk(:,1)=[0;0;0;0;0;0];
Pk=diag([1000,1000,1000,100,100,100]);
Fai=[eye(3),T.*eye(3);zeros(3,3),eye(3)];
Hk=eye(6);
for k=1:N-1xk(:,k)=Fai*xk(:,k);Pk=Fai*Pk*Fai'+Q;Kk=Pk*Hk'/(Hk*Pk*Hk'+R);xk(:,k+1)=xk(:,k)+Kk*(z(:,k+1)-Hk*xk(:,k));Pk=(eye(6)-Kk*Hk)*Pk*(eye(6)-Kk*Hk)'+Kk*R*Kk';
end

输出结果:
真实值、观测值、递推最小二乘估计值和卡尔曼滤波法估计值曲线如下图:
在这里插入图片描述
递推最小二乘估计值和卡尔曼滤波法估计值与真实值的误差如下图:
在这里插入图片描述

这篇关于利用matlab实现线型卡尔曼滤波(LKF)的文章就介绍到这儿,希望我们推荐的文章对编程师们有所帮助!



http://www.chinasem.cn/article/535395

相关文章

C#借助Spire.XLS for .NET实现在Excel中添加文档属性

《C#借助Spire.XLSfor.NET实现在Excel中添加文档属性》在日常的数据处理和项目管理中,Excel文档扮演着举足轻重的角色,本文将深入探讨如何在C#中借助强大的第三方库Spire.... 目录为什么需要程序化添加Excel文档属性使用Spire.XLS for .NET库实现文档属性管理Sp

Python+FFmpeg实现视频自动化处理的完整指南

《Python+FFmpeg实现视频自动化处理的完整指南》本文总结了一套在Python中使用subprocess.run调用FFmpeg进行视频自动化处理的解决方案,涵盖了跨平台硬件加速、中间素材处理... 目录一、 跨平台硬件加速:统一接口设计1. 核心映射逻辑2. python 实现代码二、 中间素材处

Java数组动态扩容的实现示例

《Java数组动态扩容的实现示例》本文主要介绍了Java数组动态扩容的实现示例,文中通过示例代码介绍的非常详细,对大家的学习或者工作具有一定的参考学习价值,需要的朋友们下面随着小编来一起学习学习吧... 目录1 问题2 方法3 结语1 问题实现动态的给数组添加元素效果,实现对数组扩容,原始数组使用静态分配

Python实现快速扫描目标主机的开放端口和服务

《Python实现快速扫描目标主机的开放端口和服务》这篇文章主要为大家详细介绍了如何使用Python编写一个功能强大的端口扫描器脚本,实现快速扫描目标主机的开放端口和服务,感兴趣的小伙伴可以了解下... 目录功能介绍场景应用1. 网络安全审计2. 系统管理维护3. 网络故障排查4. 合规性检查报错处理1.

Python轻松实现Word到Markdown的转换

《Python轻松实现Word到Markdown的转换》在文档管理、内容发布等场景中,将Word转换为Markdown格式是常见需求,本文将介绍如何使用FreeSpire.DocforPython实现... 目录一、工具简介二、核心转换实现1. 基础单文件转换2. 批量转换Word文件三、工具特性分析优点局

Springboot3统一返回类设计全过程(从问题到实现)

《Springboot3统一返回类设计全过程(从问题到实现)》文章介绍了如何在SpringBoot3中设计一个统一返回类,以实现前后端接口返回格式的一致性,该类包含状态码、描述信息、业务数据和时间戳,... 目录Spring Boot 3 统一返回类设计:从问题到实现一、核心需求:统一返回类要解决什么问题?

Java使用Spire.Doc for Java实现Word自动化插入图片

《Java使用Spire.DocforJava实现Word自动化插入图片》在日常工作中,Word文档是不可或缺的工具,而图片作为信息传达的重要载体,其在文档中的插入与布局显得尤为关键,下面我们就来... 目录1. Spire.Doc for Java库介绍与安装2. 使用特定的环绕方式插入图片3. 在指定位

Java使用Spire.Barcode for Java实现条形码生成与识别

《Java使用Spire.BarcodeforJava实现条形码生成与识别》在现代商业和技术领域,条形码无处不在,本教程将引导您深入了解如何在您的Java项目中利用Spire.Barcodefor... 目录1. Spire.Barcode for Java 简介与环境配置2. 使用 Spire.Barco

Java利用Spire.Doc for Java实现在模板的基础上创建Word文档

《Java利用Spire.DocforJava实现在模板的基础上创建Word文档》在日常开发中,我们经常需要根据特定数据动态生成Word文档,本文将深入探讨如何利用强大的Java库Spire.Do... 目录1. Spire.Doc for Java 库介绍与安装特点与优势Maven 依赖配置2. 通过替换

Android使用java实现网络连通性检查详解

《Android使用java实现网络连通性检查详解》这篇文章主要为大家详细介绍了Android使用java实现网络连通性检查的相关知识,文中的示例代码讲解详细,感兴趣的小伙伴可以跟随小编一起学习一下... 目录NetCheck.Java(可直接拷贝)使用示例(Activity/Fragment 内)权限要求