本文主要是介绍一种先进的铜铜混合绑定应用于新叠层CMOS 图像传感器,希望对大家解决编程问题提供一定的参考价值,需要的开发者们随着小编来一起学习吧!
一种先进的铜铜混合绑定应用于新叠层CMOS 图像传感器
摘要-
我们成功地引入了先进的铜铜混合绑定为新叠层的背照式CMOS图像传感器.为形成严格的铜铜连接,我们优化了表面平整度关于铜连接焊盘来同时保证电气连接和制造过程公差。在这个研究中,容差关于铜溢出从观点关于绑定过程是数量计算的。电气测试结果显示我们r鲁棒性铜铜混合绑定获得很好的间距和大范围的连接。
I、介绍-
我们声明了一种叠层式的BI-CIS使用铜铜混合绑定来连接CIS和图像信号处理器.混合绑定是一种方法连接两个基质通过铜铜金属绑定,并通过层间电介质ILD, ILD氧气绑定在同时。铜连接引脚是坐落在顶部的BEOL层,并且它永远不影响到MOS-FET在制造过程中。如显示在图1,它允许巨大电路设计灵活并且更加芯片尺寸减少可以容易被获得。

图1: 电路框图关于绑定基层和TSV(上层)和混合绑了定(下层)
为了制造鲁棒性的铜铜连接,为了控制表面平整度关于铜连接引脚是一个重要的因素。当传统的BEOL CMP过程被使用,表面的CU趋向来凹槽为有些程度取决于铜线宽度。关心是电气连接关于凹进铜引脚可能不利影响当他们被绑定。另一方面,当我们控制的CMP过程,它是故意制造很平或者轻溢出铜引脚,被使用,更好铜铜电气连接被期望作为显示在图2.在这个研究中,容差关于铜溢出从观点关于绑定过程是数量计算。

图2:电路框图关于表面平整度关于通用CMP和铜铜优化CMP.
II、实验
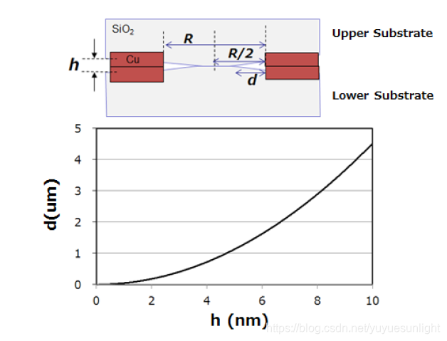
如显示在图3,我们估计溢出边界关于铜连接引脚通过应用理论公式关于通用氧化绑定到铜铜混合绑定。

图3 理论估计溢出余量关于铜的连接引脚
从这个估计,关系在溢出高度和非绑定距离可以被估计。可以被考虑空间从两个粘接铜引脚必须宽度足够比非绑定距离到绑定两个基质坚固。扫描声音显微镜(SAM)图像4,显示了300毫米晶圆抛光通过我们的控制的CMP过程可以被坚固地绑定没有任何绑定空虚.

图4 绑定结果关于两个晶圆抛光通过CUCU优化CMP
III、结果和讨论
电子特性关于我们的铜铜混合绑定被调查通过一个测试模型,被制造在300mm晶圆。测试模型包括一定数量的铜铜连接,制造过程是相同给我们新的BI-CIS.图像显示了电阻分布关于铜铜连接,间距关于粘接铜铜连接是4um.数量关于连接是3M。

如显示在图5,紧密分布显示很好的接连。
图像6显示漏电流在不同潜在铜铜连接之间。空间在不同潜在铜铜连接是2um,并且1K 连接坐落在模组之间。显示漏电流很好抑制。相当低漏电流错综复杂在每个铜和铜连接被很好的隔离被周围的电介质.

图6 累积图关于漏电流在不同潜在铜铜连接。
我们制造了叠层BI-CIS在22.5百万像素 1/2.6英寸CIS功能 1.0um单位像素和ISP由我们拉铜铜混合绑定过程。

图7横截面图视角关于新的叠层BI-CIS
IV、结论
在这个研究中,我们理论地估计容差关于溢出偏差通过视点关于绑定过程公差。数量数据可以被使用在设计CU连接焊盘。电气测试结果显示在我们鲁棒性铜铜混合绑定获得很好间距和很大程度的连接。
这篇关于一种先进的铜铜混合绑定应用于新叠层CMOS 图像传感器的文章就介绍到这儿,希望我们推荐的文章对编程师们有所帮助!