本文主要是介绍DeepFM原理及源码解析,希望对大家解决编程问题提供一定的参考价值,需要的开发者们随着小编来一起学习吧!
1、DeepFM原理回顾
先来回顾一下DeepFM的模型结构:

DeepFM包含两部分:因子分解机部分与神经网络部分,分别负责低阶特征的提取和高阶特征的提取。这两部分共享同样的嵌入层输入。DeepFM的预测结果可以写为:

嵌入层

嵌入层(embedding layer)的结构如上图所示。通过嵌入层,尽管不同field的长度不同(不同离散变量的取值个数可能不同),但是embedding之后向量的长度均为K(我们提前设定好的embedding-size)。通过代码可以发现,在得到embedding之后,我们还将对应的特征值乘到了embedding上,这主要是由于fm部分和dnn部分共享嵌入层作为输入。
FM部分
FM部分的详细结构如下:

FM部分是一个因子分解机。关于因子分解机可以参阅文章[Rendle, 2010] Steffen Rendle. Factorization machines. In ICDM, 2010.。因为引入了隐变量的原因,对于几乎不出现或者很少出现的隐变量,FM也可以很好的学习。
FM的输出公式为:

深度部分

深度部分是一个多层前馈神经网络。我们这里不再赘述。
有关模型具体如何操作,我们可以通过代码来进一步加深认识。
2、代码实现
2.1 Embedding介绍
DeepFM中,很重要的一项就是embedding操作,所以我们先来看看什么是embedding,可以简单的理解为,将一个特征转换为一个向量。在推荐系统当中,我们经常会遇到离散变量,如userid、itemid。对于离散变量,我们一般的做法是将其转换为one-hot,但对于itemid这种离散变量,转换成one-hot之后维度非常高,但里面只有一个是1,其余都为0。这种情况下,我们的通常做法就是将其转换为embedding。
embedding的过程是什么样子的呢?它其实就是一层全连接的神经网络,如下图所示:

假设一个离散变量共有5个取值,也就是说one-hot之后会变成5维,我们想将其转换为embedding表示,其实就是接入了一层全连接神经网络。由于只有一个位置是1,其余位置是0,因此得到的embedding就是与其相连的图中红线上的权重。
2.2 tf.nn.embedding_lookup函数介绍
在tf1.x中,我们使用embedding_lookup函数来实现embedding,代码如下:
# embedding
embedding = tf.constant([[0.21,0.41,0.51,0.11]],[0.22,0.42,0.52,0.12],[0.23,0.43,0.53,0.13],[0.24,0.44,0.54,0.14]],dtype=tf.float32)feature_batch = tf.constant([2,3,1,0])get_embedding1 = tf.nn.embedding_lookup(embedding,feature_batch)
在embedding_lookup中,第一个参数相当于一个二维的词表,并根据第二个参数中指定的索引,去词表中寻找并返回对应的行。上面的过程为:

注意这里的维度的变化,假设我们的feature_batch 是 1维的tensor,长度为4,而embedding的长度为4,那么得到的结果是 4 * 4 的,同理,假设feature_batch是2 *4的,embedding_lookup后的结果是2 * 4 * 4。每一个索引返回embedding table中的一行,自然维度会+1。
上文说过,embedding层其实是一个全连接神经网络层,那么其过程等价于:

可以得到下面的代码:
embedding = tf.constant([[0.21,0.41,0.51,0.11],[0.22,0.42,0.52,0.12],[0.23,0.43,0.53,0.13],[0.24,0.44,0.54,0.14]],dtype=tf.float32)feature_batch = tf.constant([2,3,1,0])
feature_batch_one_hot = tf.one_hot(feature_batch,depth=4)
get_embedding2 = tf.matmul(feature_batch_one_hot,embedding)
二者是否一致呢?我们通过代码来验证一下:
with tf.Session() as sess:sess.run(tf.global_variables_initializer())embedding1,embedding2 = sess.run([get_embedding1,get_embedding2])print(embedding1)print(embedding2)
得到的结果为:

二者得到的结果是一致的。
因此,使用embedding_lookup的话,我们不需要将数据转换为one-hot形式,只需要传入对应的feature的index即可。
2.3 数据处理
接下来进入代码实战部分。
首先我们来看看数据处理部分,通过刚才的讲解,想要给每一个特征对应一个k维的embedding,如果我们使用embedding_lookup的话,需要得到连续变量或者离散变量对应的特征索引feature index。听起来好像有点抽象,咱们还是举个简单的例子:

这里有三组特征,或者说3个field的特征,分别是性别、星期几、职业。对应的特征数量分别为2、7、2。我们总的特征数量feature-size为2 + 7 + 2=11。如果转换为one-hot的话,每一个取值都会对应一个特征索引feature-index。
这样,对于一个实例男/二/学生来说,将其转换为对应的特征索引即为0、3、9。在得到特征索引之后,就可以通过embedding_lookup来获取对应特征的embedding。
当然,上面的例子中我们只展示了三个离散变量,对于连续变量,我们也会给它一个对应的特征索引,如:

可以看到,此时共有5个field,一个连续特征就对应一个field。
但是在FM的公式中,不光是embedding的内积,特征取值也同样需要。对于离散变量来说,特征取值就是1,对于连续变量来说,特征取值是其本身,因此,我们想要得到的数据格式如下:

定好了目标之后,咱们就开始实现代码。先看下对应的数据集:
import pandas as pdTRAIN_FILE = "data/train.csv"
TEST_FILE = "data/test.csv"NUMERIC_COLS = ["ps_reg_01", "ps_reg_02", "ps_reg_03","ps_car_12", "ps_car_13", "ps_car_14", "ps_car_15"
]IGNORE_COLS = ["id", "target","ps_calc_01", "ps_calc_02", "ps_calc_03", "ps_calc_04","ps_calc_05", "ps_calc_06", "ps_calc_07", "ps_calc_08","ps_calc_09", "ps_calc_10", "ps_calc_11", "ps_calc_12","ps_calc_13", "ps_calc_14","ps_calc_15_bin", "ps_calc_16_bin", "ps_calc_17_bin","ps_calc_18_bin", "ps_calc_19_bin", "ps_calc_20_bin"
]dfTrain = pd.read_csv(TRAIN_FILE)
dfTest = pd.read_csv(TEST_FILE)
print(dfTrain.head(10))
数据集如下:

我们定义了一些不考虑的变量列、一些连续变量列,剩下的就是离散变量列,接下来,想要得到一个feature-map。这个featrue-map定义了如何将变量的不同取值转换为其对应的特征索引feature-index。
df = pd.concat([dfTrain,dfTest])feature_dict = {}
total_feature = 0
for col in df.columns:if col in IGNORE_COLS:continueelif col in NUMERIC_COLS:feature_dict[col] = total_featuretotal_feature += 1else:unique_val = df[col].unique()feature_dict[col] = dict(zip(unique_val,range(total_feature,len(unique_val) + total_feature)))total_feature += len(unique_val)
print(total_feature)
print(feature_dict)
这里,我们定义了total_feature来得到总的特征数量,定义了feature_dict来得到变量取值到特征索引的对应关系,结果如下:

可以看到,对于连续变量,直接是变量名到索引的映射,对于离散变量,内部会嵌套一个二级map,这个二级map定义了该离散变量的不同取值到索引的映射。
下一步,需要将训练集和测试集转换为两个新的数组,分别是feature-index,将每一条数据转换为对应的特征索引,以及feature-value,将每一条数据转换为对应的特征值。
"""
对训练集进行转化
"""
print(dfTrain.columns)
train_y = dfTrain[['target']].values.tolist()
dfTrain.drop(['target','id'],axis=1,inplace=True)
train_feature_index = dfTrain.copy()
train_feature_value = dfTrain.copy()for col in train_feature_index.columns:if col in IGNORE_COLS:train_feature_index.drop(col,axis=1,inplace=True)train_feature_value.drop(col,axis=1,inplace=True)continueelif col in NUMERIC_COLS:train_feature_index[col] = feature_dict[col]else:train_feature_index[col] = train_feature_index[col].map(feature_dict[col])train_feature_value[col] = 1"""
对测试集进行转化
"""
test_ids = dfTest['id'].values.tolist()
dfTest.drop(['id'],axis=1,inplace=True)test_feature_index = dfTest.copy()
test_feature_value = dfTest.copy()for col in test_feature_index.columns:if col in IGNORE_COLS:test_feature_index.drop(col,axis=1,inplace=True)test_feature_value.drop(col,axis=1,inplace=True)continueelif col in NUMERIC_COLS:test_feature_index[col] = feature_dict[col]else:test_feature_index[col] = test_feature_index[col].map(feature_dict[col])test_feature_value[col] = 1
来看看此时的训练集的特征索引:

对应的特征值:

此时,我们的训练集和测试集就处理完毕了!
2.4 模型参数及输入
接下来定义模型的一些参数,如学习率、embedding的大小、深度网络的参数、激活函数等等,还有两个比较重要的参数,分别是feature的大小和field的大小:
"""模型参数"""
dfm_params = {"use_fm":True,"use_deep":True,"embedding_size":8,"dropout_fm":[1.0,1.0],"deep_layers":[32,32],"dropout_deep":[0.5,0.5,0.5],"deep_layer_activation":tf.nn.relu,"epoch":30,"batch_size":1024,"learning_rate":0.001,"optimizer":"adam","batch_norm":1,"batch_norm_decay":0.995,"l2_reg":0.01,"verbose":True,"eval_metric":'gini_norm',"random_seed":3
}
dfm_params['feature_size'] = total_feature
dfm_params['field_size'] = len(train_feature_index.columns)
而训练模型的输入有三个,分别是刚才转换得到的特征索引和特征值,以及label:
"""开始建立模型"""
feat_index = tf.placeholder(tf.int32,shape=[None,None],name='feat_index')
feat_value = tf.placeholder(tf.float32,shape=[None,None],name='feat_value')label = tf.placeholder(tf.float32,shape=[None,1],name='label')
比如刚才的两个数据,对应的输入为:

定义好输入之后,再定义一下模型中所需要的weights:
"""建立weights"""
weights = dict()#embeddings
weights['feature_embeddings'] = tf.Variable(tf.random_normal([dfm_params['feature_size'],dfm_params['embedding_size']],0.0,0.01),name='feature_embeddings')
weights['feature_bias'] = tf.Variable(tf.random_normal([dfm_params['feature_size'],1],0.0,1.0),name='feature_bias')#deep layers
num_layer = len(dfm_params['deep_layers'])
input_size = dfm_params['field_size'] * dfm_params['embedding_size']
glorot = np.sqrt(2.0/(input_size + dfm_params['deep_layers'][0]))weights['layer_0'] = tf.Variable(np.random.normal(loc=0,scale=glorot,size=(input_size,dfm_params['deep_layers'][0])),dtype=np.float32
)
weights['bias_0'] = tf.Variable(np.random.normal(loc=0,scale=glorot,size=(1,dfm_params['deep_layers'][0])),dtype=np.float32
)for i in range(1,num_layer):glorot = np.sqrt(2.0 / (dfm_params['deep_layers'][i - 1] + dfm_params['deep_layers'][I]))weights["layer_%d" % i] = tf.Variable(np.random.normal(loc=0, scale=glorot, size=(dfm_params['deep_layers'][i - 1], dfm_params['deep_layers'][i])),dtype=np.float32) # layers[i-1] * layers[I]weights["bias_%d" % i] = tf.Variable(np.random.normal(loc=0, scale=glorot, size=(1, dfm_params['deep_layers'][i])),dtype=np.float32) # 1 * layer[I]# final concat projection layerif dfm_params['use_fm'] and dfm_params['use_deep']:input_size = dfm_params['field_size'] + dfm_params['embedding_size'] + dfm_params['deep_layers'][-1]
elif dfm_params['use_fm']:input_size = dfm_params['field_size'] + dfm_params['embedding_size']
elif dfm_params['use_deep']:input_size = dfm_params['deep_layers'][-1]glorot = np.sqrt(2.0/(input_size + 1))
weights['concat_projection'] = tf.Variable(np.random.normal(loc=0,scale=glorot,size=(input_size,1)),dtype=np.float32)
weights['concat_bias'] = tf.Variable(tf.constant(0.01),dtype=np.float32)
介绍两个比较重要的参数,weights['feature_embeddings']是每个特征所对应的embedding,它的大小为feature-size * embedding-size,另一个参数是weights['feature_bias'] ,这个是FM部分计算时所用到的一次项的权重参数,可以理解为embedding-size为1的embedding table,它的大小为feature-size * 1。
假设weights['feature_embeddings']如下:

2.5 嵌入层
嵌入层,主要根据特征索引得到对应特征的embedding:
"""embedding"""
embeddings = tf.nn.embedding_lookup(weights['feature_embeddings'],feat_index)reshaped_feat_value = tf.reshape(feat_value,shape=[-1,dfm_params['field_size'],1])embeddings = tf.multiply(embeddings,reshaped_feat_value)
这里注意的是,在得到对应的embedding之后,还乘上了对应的特征值,这个主要是根据FM的公式得到的。过程表示如下:

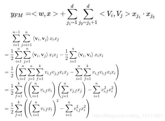
2.6 FM部分
我们先来回顾一下FM的公式,以及二次项的化简过程:

上面的式子中有部分同学曾经问我第一步是怎么推导的,其实也不难,看下面的手写过程(大伙可不要嫌弃字丑哟)

因此,一次项的计算如下,我们刚刚也说过了,通过weights['feature_bias']来得到一次项的权重系数:
fm_first_order = tf.nn.embedding_lookup(weights['feature_bias'],feat_index)
fm_first_order = tf.reduce_sum(tf.multiply(fm_first_order,reshaped_feat_value),2)
对于二次项,经过化简之后有两部分(暂不考虑最外层的求和),我们先用excel来形象展示一下两部分,这有助于你对下面代码的理解。
第一部分过程如下:

第二部分的过程如下:

最后两部分相减:

二次项部分的代码如下:
summed_features_emb = tf.reduce_sum(embeddings,1)
summed_features_emb_square = tf.square(summed_features_emb)squared_features_emb = tf.square(embeddings)
squared_sum_features_emb = tf.reduce_sum(squared_features_emb,1)fm_second_order = 0.5 * tf.subtract(summed_features_emb_square,squared_sum_features_emb)
要注意这里的fm_second_order是二维的tensor,大小为batch-size * embedding-size,也就是公式中最外层的一个求和还没有进行,这也是代码中与FM公式有所出入的地方。我们后面再讲。
2.7 Deep部分
Deep部分很简单了,就是几层全连接的神经网络:
"""deep part"""
y_deep = tf.reshape(embeddings,shape=[-1,dfm_params['field_size'] * dfm_params['embedding_size']])for i in range(0,len(dfm_params['deep_layers'])):y_deep = tf.add(tf.matmul(y_deep,weights["layer_%d" %i]), weights["bias_%d"%I])y_deep = tf.nn.relu(y_deep)
2.8 输出部分
最后的输出部分,论文中的公式如下:

在我们的代码中如下:
"""final layer"""
if dfm_params['use_fm'] and dfm_params['use_deep']:concat_input = tf.concat([fm_first_order,fm_second_order,y_deep],axis=1)
elif dfm_params['use_fm']:concat_input = tf.concat([fm_first_order,fm_second_order],axis=1)
elif dfm_params['use_deep']:concat_input = y_deepout = tf.nn.sigmoid(tf.add(tf.matmul(concat_input,weights['concat_projection']),weights['concat_bias']))
看似有点出入,其实真的有点出入,不过无碍,咱们做两点说明:
1)首先,这里整体上和最终的公式是相似的,看下面的excel(由于最后一层只有一个神经元,矩阵相乘可以用对位相乘再求和代替):

2)这里不同的地方就是,FM二次项化简之后最外层不再是简单的相加了,而是变成了加权求和(有点类似attention的意思),如果FM二次项部分对应的权重都是1,就是标准的FM了。
2.9 Loss and Optimizer
这一块也不再多讲,我们使用logloss来指导模型的训练:
"""loss and optimizer"""
loss = tf.losses.log_loss(tf.reshape(label,(-1,1)), out)
optimizer = tf.train.AdamOptimizer(learning_rate=dfm_params['learning_rate'], beta1=0.9, beta2=0.999,epsilon=1e-8).minimize(loss)
至此,我们整个DeepFM模型的架构就搭起来了,接下来,我们简单测试一下代码:
"""train"""
with tf.Session() as sess:sess.run(tf.global_variables_initializer())for i in range(100):epoch_loss,_ = sess.run([loss,optimizer],feed_dict={feat_index:train_feature_index,feat_value:train_feature_value,label:train_y})print("epoch %s,loss is %s" % (str(i),str(epoch_loss)))
调试成功:

代码链接:https://github.com/princewen/tensorflow_practice/blob/master/recommendation/Basic-DeepFM-model/DeepFM-StepByStep.ipynb
数据在git最外层的readme中。
转自https://mp.weixin.qq.com/s/QrO48ZdP483TY_EnnWFhsQ
这篇关于DeepFM原理及源码解析的文章就介绍到这儿,希望我们推荐的文章对编程师们有所帮助!